P.O. Optica Havo 5

Tekst in rood hieronder geldt alleen voor het uitgebreid P.O.

Korte omschrijving:

In dit practicum doe je metingen om de formules van breking ('Snellius') en lenswerking ('lenzenformule') te controleren. Je mag werken in groepjes van minimaal 2 tot maximaal 4 personen.

Tijdsduur:

Uitvoeren metingen: 1 a 2 lesuren, incl. verwerking via invulblad.

Verwerken gegevens in verslag met individuele opdracht: 1 a 2 klokuren.

 

Theorie:

Wet van Snellius.

 

 

 

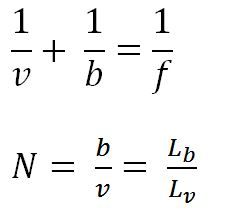
Lenzenformules.

Voorbereiding:

Zoek informatie over zowel de wet van snellius en de lenzenformules. Zorg dat je goed begrijpt wat de verschillende onderdelen / symbolen van de formule betekenen en hoe je deze waardes zou kunnen meten.

Onthoud de informatiebronnen / websites die je gebruikt hebt voor in je verslag!

Je kunt in ieder geval op de website van school kijken van de onderbouw natuurkunde:

http://natuurkunde.reviusplein.nl/3HV/3HVH2/3HVH2Inhoud.html

(login:natuurkunde, wachtwoord scheikunde)

Je krijgt twee lesuren ingeroosterd om de metingen te doen. Je hebt in totaal 3 sets metingen, van elk minimaal 8 tot 10 metingen. Hiernaast zie je een voorbeeld van een set meetresultaten ('verzonnen', gebruik deze dus NIET in je verslag!).

 

 

Uitvoering:

Voedingsbron:

Zorg dat de spanning ('Voltage') van de voedingsbron niet hoger komt dan 12 V (bovenste knop). De onderste knop ('Current') mag (moet!) altijd voluit staan.

 

 

 

PRACTICUM 1. LENZENFORMULE

Meet voor minimaal 10 posities de voorwerpsafstand, de beeldafstand, de voorwerpsgrootte en de beeldgrootte. Zorg dat je metingen mooi verdeeld zijn en goed van elkaar te onderscheiden.

Benodigdheden/opstelling lenzenformule.

 

Zo plaats je het lichtkastje op de optische rail, en schuif je er een dia in.

Stop de lens in de houder...

Je leest de afstand van de lenshouder en het schermpje bij de streep af. In het voorbeeld staat het scherm op 46,5 cm en de lenshouder op 27,8 cm.

Verschuif het schermpje bij elke meting een beetje zodat je ziet wanneer het beeld het scherpst is. De eerste twee plaatjes zijn niet goed, de derde wel.

 

 

 

PRACTICUM 2. BREKING / SNELLIUS

Meet voor minimaal 8 hoeken de hoek van inval (i) en de hoek van breking (r), zowel voor de overgang van lucht naar glas als van glas naar lucht. In totaal dus minimaal 16 metingen! Nul graden is OOK een hoek en dus een meting!

 

Hieronder de benodigdheden (voedingskast, lichtkastje, lichtstraalmaker, perspex blokje, gradenboog).

Klik hier om een tekst te typen.

Zo 'maak' je een lichtstraal.

Zorg dat je perspex schijf precies in het midden ligt (fout in plaatje 1) en recht langs de lijn (fout in plaatje 2)! (Derde plaatje is dus goed)

 

Laat de lichtstraal PRECIES in het midden invallen, zowel van lucht naar glas (eerste foto) als van glas naar lucht (tweede foto). Let hier goed op bij elke meting! Een kleine afwijking kan al zeer nadelig zijn voor de betrouwbaarheid van je metingen!! Zorg dat je de 'grenshoek' zo nauwkeurig mogelijk meet!

In de eerste foto geldt: i = 30° en r = 20°. In de tweede foto geldt: i = 30° en r = 48°.

 

Je verwerkt je gegevens via een individueel opdrachtenvel of een verslag. Dit mag in groepjes tot maximaal 4 personen. Denk aan je inleiding, theorie, formules, berekeningen, grafieken en conclusie! Elke leerling krijgt nog een individuele opdracht in het verslag (zie hieronder). Iedereen levert het COMPLETE verslag in in SomToday.

INDIVIDUELE OPDRACHT

Voeg een literatuuronderzoekje toe over licht van 1 a 2 A4-tjes (incl. illustraties). Mogelijke onderwerpen:

  • Laser
  • Holografie
  • Werking van het oog
  • Licht golf of deeltje?
  • Zon / Maan / Sterren
  • Regenboog
  • Lichtsnelheid
  • ...... of natuurlijk een eigen onderwerp.

Maak jouw eigen website met JouwWeb