Alle officiele informatie voor het examen vind je op www.examenblad.nl

In de Syllabus die je hier vindt, staat precies wat er van je wordt verwacht in het examen, en welke onderdelen 'vervallen' in het examen.

VÓÓR HET EXAMEN

-EIGEN BINAS 6e druk mee (onbeschreven natuurlijk), je mag wel bladwijzertjes in je BINAS hebben, met alleen tabelnummer oid.

-Rekenmachine (normale, grafische rekenmachine is NIET toegestaan!) + reservebatterijen mee (of zeker weten dat de batterijen goed zijn)

-Rekenmachine in GRADEN (test: sin (90) moet '1' als antwoord geven, staat ie in radialen geeft ie 0,89)

-Meerdere pennen, markeerstift, potlood + puntenslijper + gum + geodriehoek (goed afleesbaar)  + passer (je weet maar nooit of je een cirkel(baan) moet tekenen mee.

START VAN HET EXAMEN

Schrijf de dingen waarvan je weet waar je moeite mee hebt, of die vaak gevraagd worden, direct na het begin van je examen boven op je examenblad of op je kladblaadje.

Bijv:

-de F-a-v-s W <-> E cirkel!

-raaklijn voor gegevens op één tijdstip  / hokjes tellen -oppervlakte

-Staande golven een kant open / twee kanten open / labdas, grondtoon, boventoon.

-Voorbeeld tekening met auto op helling. Fz, Fn, Fw. Fz,x (= Fz sin(..) in richting Fw en Fmotor) Fz,y (= Fz cos(..), in richting Fn)

-Rendementstekening (pijl (in) - blokje (rendement) - pijl (uit - nuttig en Q). Rendement is altijd kleiner dan 100% (of 1).

-Alpha, Beta- en Gammastraling (en eventueel de neutronen en protonen met de juiste getallen.

-Gegeven van een cirkel, Omtrek Oppervlakte. Kan je bij verschillende onderdelen nodig hebben. Maak een schetsje van een doorsnede van een draad en zet de formules er bij. (T36B). Er geldt vaak: inhoud = (grond) oppervlakte x hoogte.

 

TIJDENS HET EXAMEN

-Markeer tijdens het lezen van de opgaven de belangrijke woorden / getallen / gegevens. Schrijf de dingen die je direct weet ook direct bij de opgave.

-Schrijf ALLES op, steeds op een nieuwe regel, de stomste berekeningen of formules OPSCHRIJVEN!!

-Benoem wat je doet: "Aflezen", "Raaklijn", "Oppervlakte-methode", "Krachtenevenwicht", "Momentenwet" etc. etc.

-KRAS NIETS DOOR, tenzij je ZEKER weet dat er ONZIN staat. Gewoon laten staan en (eventueel) verder werken! Uiteindelijk wordt het LAATSTE (duidelijke)antwoord als antwoord gezien, ongeacht wat er boven staat! Maar voor ALLES wat er boven staat kunnen deelpunten gegeven worden!

-Het stappenplan:

     0. Wat wordt er gevraagd?

     1. Formule(s)

     2. Gegevevens (grootheid =  getal +  eenheid, eventueel omrekenen)

     3. Invullen / oplossen

     4. Antwoord opschrijven (denk aan eenheid, significantie, realisme).

-Maak schetjes van de situatie (doe dit nou!!).

-Foto of tekening met schaalvermelding? Opmeten!

-Vergeet niet de kwadraten in formules op te schrijven maar ook uit te voeren in bijv. Ek = 1/2 m v^2 of 1/2 C u^2.

 

 

GRAFIEK

Aflezen

Bijv, uit een v,t diagram kan je de snelheid op een tijdstip aflezen.

Let op, soms is de schaalverdeling vreemd, of is er een breuklijn.

 

Beredeneren
Soms hoef je alleen maar te zeggen hoe de grafiek loopt (stijgend, dalend, steeds steiler, steeds vlakker, horizontaal etc.) om daarmee de vraag te beantwoorden.

 

Gemiddelde waardes
Bij een niet horizontale grafiek kan soms om een gemiddelde waarde van de y-as worden gevraagd. Je legt je geodriehoek dan horizontaal op de grafiek en schuift net zo lang omhoog en omlaag totdat de grafiek net zoveel 'hokjes' boven de lijn als onder de lijn van de geodriehoek heeft.


Raaklijn
Je krijgt dan informatie over de plek waar je de raaklijn tekent, maar van een grootheid die NIET in de grafiek staat! Teken de raaklijn, en bereken de steilheid met 'dy' gedeeld door 'dx' van de getekende raaklijn, niet van de oorspronkelijke grafiek.

Bijv: Raaklijn in s,t diagram geeft snelheid, in v,t diagram geeft versnelling maar ook een raaklijn in een E,t diagram geeft vermogen (want P = E/t).


Oppervlakte 
(bijv. via hokjes tellen, het aantal hoekjes dan maal de 'waarde' van één hokje, en dat is breedte x hoogte van het hokje).

Oppervlakte in v,t diagram geeft afstand en bijv in P,t diagram geeft energie (want E = P t). 

 

 

BINAS

-Bij opzoeken waardes uit de BINAS, denk aan de grootte (10-macht), boven in de tabel en natuurlijk de eenheid. Schrijf eventueel de 'tot de macht -1'  als een deelstreep (dus bijv ms-1 = m/s).

-Staat een stof bij naam genoemd (bijv ijzer, koper etc.) in de opgave, moet je vaak een gegeven opzoeken in de BINAS (T8-T12)

-Waardes van constante in T7A (met name valversnelling, lichtsnelheid, elementair ladingsquantum (lading electron), T7B heeft gegevens voor atoomfysica (atomaire massa-eenheid etc.) 

-Voorvoegsels als kilo, Mega etc. in T2.

-T4 is handig als je formules moet omschrijven. Hier staat bijv. dat een N gelijk is aan kg m s^-2

-De verschillende vormen van Medische Beeldvorming vind je in T29.

INFORMATIEOVERDRACHT (DOMEIN B1)

-Denk aan je staande golven / grondtoon / eigenfrequentie. Maak een tekening en tel de labda's (1/2 of 1/4 in grondtoon)

-Boventonen zijn altijd één halve labda (één K-B-K) meer dan de vorige.

-Twee kanten open of dicht: 1/2 -2/2 - 3/2 -4/2 etc.

-Eén kant open : 1/4 - 3/4 - 5/4 - 7/4 etc.

-De snelheid van de golven is meestal constant, en afhankelijke van de stof waarin ze zich voortplanten (BINAS T15A).

-Aflezen trillingstijd uit (sinus) grafiek? Neem zoveel mogelijk trillingen en deel daarna door dit aantal.

-Oefen hoe je Frequentie-modulatie en Amplitudemodulatie kan schetsen.

-De draaggolf is altijd de golf met de hoge frequentie!

-De snelheid van radiogolven is gelijk aan de lichtsnelheid.

Formules:

MEDISCHE BEELDVORMING (DOMEIN B2)

-Vervalvergelijking: atoomnummer ('lading') beneden, massagetal boven. Boven dus het GROOTSTE getal (0 is groter dan -1!).

-De energie van het deeltje uit BINAS T25 is in MeV. 1 MeV is 1x10^6 eV, eV vind je in BINAS T5 (1,6... 10^-19 J -> 1 MeV is dus 1,6 10^-13 J).

-Kerndeeltjes uitrekenen? Altijd groter dan 1, vaak zeer groot aantal.

-Activiteit is het aantal reacties per seconde dus het aantal stralingsdeeltjes per seconde. Eenheid = Bq = deeltjes per seconde. Vaak gekoppeld aan vermogen (J/s). Je hebt dan nog de energie per deeltje nodig (BINAS T25).

-Halveringsdiktes (in cm) vind je in T28F

-Stralingsbeschermingsnormen (in mSv) in T27D.2

-Stralingsweegfactoren (voor de equivalente Dosis) in T27D.3

 

-Zorg dat je de diverse technieken (her)kent: röntgenopname, CT-scan, MRI-scan, echografie en nucleaire diagnostiek. Je vind ze in T29!

Formules:

KRACHT EN BEWEGING (DOMEIN C1)

-Massa gegeven? Bereken de zwaartekracht! Je zal het maar nodig hebben (meestal niet nodig bij atomen).

-1 ton = 1000 kg.

-Vrije val? a = g = 9,81 m/s^2.

-Je hebt veel verschillende v's. vb, ve, dv, <v>.... houdt ze goed uit elkaar!

-Denk aan s = v t dat v dan de gemiddelde snelheid is!

-s,t diagram: aflezen = plaats. Twee punten: gemiddelde <v> = dx/dt. Raaklijn op 1 punt: dx/dt van raaklijn = de snelheid in dat punt. Kies punten op de raaklijn ver uit elkaar (bijv. aan randen van grafiekvenster = goed afleesbaar).

-v,t diagram: aflezen = snelheid. Twee punten: gemiddelde <a>=dv/dt. Raaklijn op 1 punt: dv/dt van de raaklijn = de versnelling in dat punt (dus ook iets over een kracht want Fres = ma). Oppervlakte onder de grafiek: afstand (let op waarde van 1 hokje). Let op: hokjes ONDER de x-as (negatieve snelheid) werken TEGEN hokjes BOVEN de x-as (heen en weer beweging).

-Krachten: let op de richting! Niet in dezelfde richting? Gebruik ontbinden of kop-staart methode (of parallelogrammethode).

-Benoem de krachtenschaal als je die kunt maken (1 cm = ... N).

-Is het voorwerp in rust of de snelheid constant? Alle krachten moeten elkaar opheffen (of 'voorwaarste krachten' zijn even groot als 'tegenwerkende krachten'.

-Momenten: bepaal eerst het draaipunt! Armen bepaal je door van de betreffende kracht zijn richting in het draaipunt te tekenen. De arm is dan de kortste afstand tussen deze lijn en de betreffende kracht. 

Formules:

ENERGIEOMZETTINGEN (DOMEIN C2)

-Arbeid  = VERANDERING van de kinetische energie. Soms is er aan het begin al snelheid dus kinetische energie. De arbeid daar dan bij optellen of er af halen (afhankelijk van of het meewerkende of tegenwerkende arbeid is).

-Maak bij een energiesom een schetjes met de verschilende situaties genoemd (1, 2, 3 etc) en geef bij elke situatie aan hoe groot elke energie en de totale energie is. Als er geen verlies is, is de totale energie in elke situatie gelijk!

-Formulie P = F v komt soms heel handig van pas! Let wel dat de kracht in de richting van v staat!

-De hoeveelheid energie die in een brandstof zit (de 'r' in de formules hieronder) vind je in BINAS T28B. Kijk goed naar de eenheden!

-Rendement? Maak een in-uit schetsje. Rendement altijd kleiner dan 1 (100%). Vergeet het rendement niet toet te passen! 

-Schrijf de eenheid van vermogen als W en ook als J/s (P = 30 W  = 30 J/s). De tijdseenheid is zo duidelijker zichtbaar.

Formules:

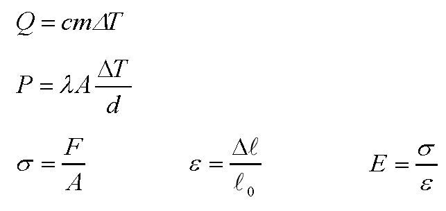
EIGENSCHAPPEN VAN STOFFEN EN MATERIALEN (DOMEIN D1)

-Temperatuur is een maat voor de beweging van de deeltjes van de stof.

-Bij de faseovergangen stollen en condenseren en rijpen komt energie vrij.

-Bij de faseovergangen smelten en verdampen en sublimeren is energie nodig.

-Tijdens faseovergangen blijft de temperatuur gelijk; de deeltjes trillen niet harder of zachter, maar er gebeurt iets met hun onderlinge aantrekkingskracht / stand.

-Soortelijke warmte (c) is een stofeigenschap. Een soortelijke warmte van 2500 (J/KgK) betekent dat je 2500 J aan één kg van die stof moet toevoeren om het één graad K te laten stijgen.

-Als wordt verwarmt tot een kookpunt of smeltpunt, is de bijbehorende temperatuur dus (eventueel via de BINAS) bekend. Bij water dus  100 C en 0 C.

-Bij vaste stoffen en vloeistoffen geldt: hoge dichtheid = zwarte atomen (niet MEER atomen). Hierdoor zijn voor 1,0 kg stof MINDER atomen nodig, en is de soortelijke warmte dus LAGER (want minder atomen hoeven 'in beweging' gezet te worden.

-Warmtegeleidingscoefficient (λ) staat in T10 maar ook in T28E!

-Bij temperatuursveranderingen of -verschillen is graden K gelijk aan graden Celsius.

-Haal dichtheid (groot getal) en soortelijke weerstand (klein getal) niet door elkaar, is allebeij rho (p). Kijk goed naar de eenheden (kg/m^3 tegen Ohm m) 

-Onthoudt: 1 kubieke meter = 1000L. Gebruik verhoudingstabel!

-De A in de formule σ = F / A is het oppervlakte A datgene waar de kracht aan trekt/aangrijpt (dus vaak de doorsnede van de kabel).

-De Elasticitietsmodulus (E) is een stofeigenschap, die het verband tussen de spanning (hoe hard wordt er aan getrokken) en de relatieve rek (hoeveel rekt het uit) weergeeft.

-De treksterkte (ook σ) is ook een stofeigenschap, maar dit is een waarde van de spanning die het voorwerp kan hebben waarna het 'mis' gaat (kapot, insnoeren, of in ieder geval niet meer een rechte lijn in het spanning- rek diagram.

Formules:

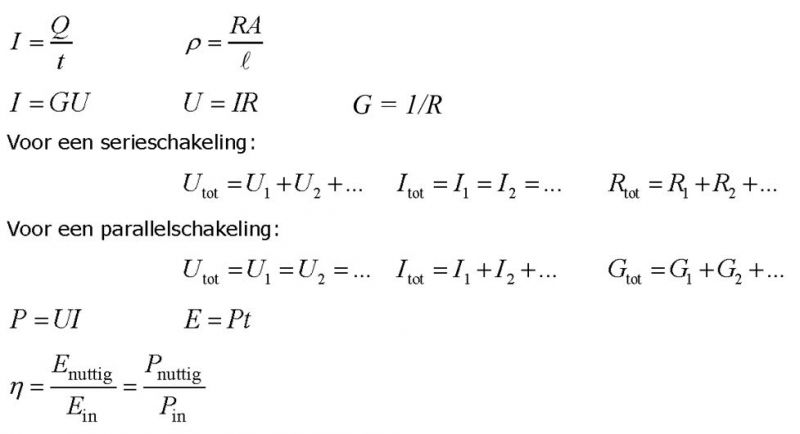
GEBRUIK VAN ELEKTRICITEIT (DOMEIN G1)

-Lading elektron (-) 1,6..  x 10^-19 C (= lading proton)

-Stroom is lading per tijdseenheid. De lading kan dus uit bovenstaande electronenlading komen.

-1 kWh is de energie die een apparaat van 1 kW zou verbruiken als het 1 uur aan zou staan. 1kWh = 3,6 10^6J (T5)

-Ampèremeter in serie, voltmeter parallel (duh).

-De spanning van de spanningsbron verdeelt zich (gedeeltelijke) bij serieschakeling over de componenten. Schrijf per component op wat je wel weet en hopelijk kan je dan de ontbrekende uitrekenen. Bij een serieschakeling krijgt dus NOOIT één weerstand de hele spanning van de batterij (er is dan niets over voor de overige componenten!)

-Een parallelschakeling herken je aan splitsingen in de stroomkring.

-Parallel: spanning hetzelfde, stroom verdeelt. Serie: stroom hetzelfde, spanning verdeelt.

-Krijg je een ingewikkelde foto of schakeling, probeer hem dan over te tekenen in een vorm die je makkelijker vindt.

-De geleidbaarheid (in Siemens, S)  van een component / onderdeel is het omgekeerde van de weerstand (in Ohm). De vervangingsweerstand van een schakeling kan je dus uitrekenen via 1/Rtot = 1/R1 + 1/R2 + 1/R3 + ....

Formules:

Heel veel succes!! Mocht je nog vragen hebben, mvaken@lentiz.nl

Maak jouw eigen website met JouwWeb